Hier finden Sie Antworten auf die meisten Fragen, die Menschen üblicherweise zu Magneten und Magnetismus stellen, zur Geschichte des Magnetismus, zu magnetischen Materialien, magnetischen Eigenschaften, magnetischer Ausrichtung, Magnetpolen und anderen Themen. Weitere technische Details zu diesen Aspekten finden Sie in unserem Magnetics-101-Design-Leitfaden.
Fordern Sie ein Angebot an oder rufen Sie uns noch heute an, um zu erfahren, wie wir Ihnen bei Ihren speziellen Anforderungen helfen können. MagnetShop.com führt auch große Mengen an Neodym-, Samarium-Kobalt-, Alnico-, Keramik- und flexiblen Magneten, die online gekauft werden können.
1. Geschichte

Die alten Griechen und Chinesen entdeckten, dass einige seltene Steine von Natur aus magnetisiert waren und als Magnetsteine bekannt waren. Diese Steine hatten die wundersame Fähigkeit, kleine Eisenstückchen anzuziehen, und man stellte fest, dass sie immer in dieselbe Richtung zeigten, wenn man sie frei schwingen ließ, an einem Stück Schnur befestigte oder auf Wasser schwimmen ließ. Die Magnete wurden als primitive Kompasse verwendet, da frühe Seefahrer sich auf diese Magnete verließen, um sich auf See in die richtige Richtung zu orientieren.
Der Begriff „Magnet“ leitet sich von Magnesia ab, einem Bezirk in Thessalien in Griechenland, wo vermutlich der ursprüngliche Magnetstein abgebaut wurde.
Im Laufe der Jahre haben sich die Magnete zu den hochfesten Magneten entwickelt, die wir heute kennen. Man fand heraus, dass durch die Bildung von Legierungen mit verschiedenen Materialien ähnliche Effekte wie bei natürlichen Magnetsteinen erzielt und der Grad der Magnetisierung erhöht werden konnten.
Die ersten künstlichen Magnete wurden jedoch bereits im 18. Jahrhundert erfunden. Die Entwicklung leistungsfähigerer magnetischer Legierungen verlief bis in die 1920er Jahre äußerst langsam, bis schließlich Alnico-Magnetlegierungen (eine Legierung aus Nickel, Aluminium und Kobalt) entwickelt wurden. In den 1950er und 1970er Jahren wurden Ferrit- bzw. Seltenerdmagnete erfunden. Seitdem hat sich der Magnetismus im Bereich der Wissenschaft exponentiell ausgebreitet, und dank der Existenz hochleistungsfähiger magnetischer Materialien sind nun miniaturisierte und leistungsstarke Geräte möglich geworden.
2. Grundlagen von Magneten und Magnetismus
Was genau ist ein Magnet?

Magnete werden hergestellt, indem man einen magnetischen Stoff, in der Regel Eisen oder Stahl, in ein starkes Magnetfeld legt. Auf diese Weise lassen sich Permanentmagnete, temporäre Magnete und Elektromagnete herstellen.
Die Atome in Materialien, die leicht magnetisiert werden können, wie Eisen, Stahl, Nickel und Kobalt, sind in kleinen Partikeln organisiert, die als Domänen bezeichnet werden. Die Domänen sind zwar viel kleiner als ein Mikroskop, bestehen jedoch aus Millionen von Milliarden Atomen und ähneln einem Mini-Magneten. Wenn ein magnetisches Material in ein starkes Magnetfeld gebracht wird, schwingen die einzelnen Domänen, die normalerweise in alle Richtungen ausgerichtet sind, langsam in Richtung des Feldes. Benachbarte Domänen werden ebenfalls von ihnen übernommen. Sind die meisten Domänen im Feld ausgerichtet, verwandelt sich das Material in einen Magneten.
Magnetische Domänen vor der Magnetisierung

Magnetische Domänen nach Magnetisierung

Was macht ein Magnet eigentlich?

Magnete beeinflussen Folgendes:
- Zieht bestimmte Stoffe an, darunter Eisen, Nickel, Kobalt, einige Stähle und andere Legierungen.
- Wirkung auf andere Magnete entweder anziehend oder abstoßend (Gleichpolige stoßen sich ab, unterschiedliche Pole ziehen sich an).
- Beeinflussen Sie elektrische Leiter im Falle eines beweglichen Magneten und eines beweglichen Leiters.
- Beeinflussen Sie die Flugbahn der elektrisch geladenen Teilchen im freien Raum.
Entsprechend diesen Effekten wandeln Magnete die in einer Form aufgenommene Energie in eine andere um, ohne dabei ihre eigene Energie zu verlieren. Zu den Funktionen von Magneten gehören:
- Mechanisch zu mechanisch, z. B. Anziehung und Abstoßung.
- Mechanisch zu elektrisch, z. B. Generatoren und Mikrofone.
- Elektrisch zu mechanisch, z. B. Motoren, Lautsprecher, Ablenkung geladener Teilchen.
- Mechanisch zu erwärmen, z. B. Wirbelstrom- und Hysteresemomentgeräte.
- Magnetresonanz, Hall-Effekt-Bauelemente und Magnetowiderstand.
Wie werden Magnete hergestellt?
Moderne Magnetmaterialien werden durch Gießen, Pressen und Sintern, Kompressionsverbindung, Spritzgießen, Extrudieren oder Kalandrieren hergestellt. Nach der Herstellung müssen die Magnete in der Regel zusätzlich bearbeitet werden, beispielsweise durch Schleifen oder andere maschinelle Bearbeitungsverfahren, und zu einer noch höheren Baugruppe zusammengebaut werden. Auf unserer Seite zu Fertigung und Montage erfahren Sie mehr über unsere kundenspezifische Bearbeitung und Montage.
Welche verschiedenen Arten von Magneten gibt es?

Es gibt drei Kategorien von Magneten, nämlich Permanentmagnete, temporäre Magnete und Elektromagnete.
Permanentmagnete benötigen keine externe Magnetismusquelle oder Elektrizität, die das Magnetfeld versorgen.
Temporäre Magnete wirken wie Magnete, wenn sie an eine Magnetfeldquelle gebunden sind oder sich in deren Nähe befinden, zeigen diese Eigenschaft jedoch nicht mehr, sobald die Magnetfeldquelle entfernt wird.
Elektromagnete benötigen Elektrizität, um als Magnet zu wirken.
Permanentmagnetmaterialien, die zur Herstellung von Permanentmagneten verwendet werden, gibt es in zahlreichen Ausführungen mit jeweils besonderen Eigenschaften. Jedes Material hat eine Reihe von Qualitäten, die sich in ihren Eigenschaften leicht unterscheiden, obwohl sie die gleiche Zusammensetzung haben.
Woraus bestehen Permanentmagnete?
Moderne Permanentmagnete werden aus speziellen Legierungen hergestellt, die durch Forschung entdeckt wurden, um bessere Magnete herzustellen. Derzeit sind die am weitesten verbreiteten Arten von Permanentmagnetmaterialien Aluminium-Nickel-Kobalt (Alnico), Strontium-Eisen (Ferrite oder Keramiken), Neodym-Eisen-Bor (auch bekannt als Neodym-Magnete oder Supermagnete) und Samarium-Kobalt-Magnetmaterial. (Eine Kombination aus den Samarium-Kobalt- und Neodym-Eisen-Bor-Familien wird als Seltenerdmetalle bezeichnet). Erfahren Sie mehr über Wie werden Neodym-Magnete hergestellt??
Was sind Seltenerdmagnete?
Seltenerdmagnete sind Magnete, die aus Elementen der Seltenerdgruppe bestehen. Zu den gängigsten Arten von Seltenerdmagneten zählen Neodym-Eisen-Bor-Magnete (Neo-Magnete) und Samarium-Kobalt-Magnete (SmCo-Magnete).
Was versteht man unter einem temporären Magneten?
Ein schwaches Feld reicht aus, um Weicheisen und einige Eisenlegierungen wie Permalloy (eine Mischung aus Eisen und Nickel) leicht zu magnetisieren. Der Magnetismus geht jedoch verloren, sobald das Feld entfernt wird. Diese Substanzen eignen sich gut als temporäre Magnete, beispielsweise in Telefonen und Elektromotoren.
Was ist ein Elektromagnet?
Elektromagnete kommen dort zum Einsatz, wo extrem starke Magnete benötigt werden. Elektromagnete entstehen, indem ein Metall (in Form eines Kerns) in eine Drahtspule eingeführt wird, durch die elektrischer Strom fließt. Die Spule wird mit Strom versorgt, wodurch ein Magnetfeld entsteht. Die Intensität des Elektromagneten wird durch die Stärke des elektrischen Stroms und die Wicklung des Drahtes bestimmt. Er wird durch den Stromfluss polarisiert. Während des Stromflusses kann der Kern als Magnet wirken; wird der Strom jedoch unterbrochen, verschwinden die magnetischen Eigenschaften sofort. Elektromagnete werden in Elektromotoren, Fernsehern, Magnetschwebebahnen, Telefonen, Computern und den meisten anderen modernen Geräten verwendet.
Was sind Wirbelströme im Magnetismus?
Es handelt sich um elektrische Ströme, die durch die Bewegung eines Magnetfelds in Bezug auf einen elektrischen Leiter induziert werden, der so positioniert wurde, dass er Zugang zum Magnetfeld hat. Diese Wirbelströme erzeugen wiederum ein Magnetfeld, das dann die relative Bewegung des ursprünglichen Magnetfelds und des elektrischen Leiters verhindert.
Wie viel kosten Magnete in der Regel?
Magnetmaterialien können sich stark voneinander unterscheiden. Nachfolgend finden Sie eine grobe Schätzung der Magnetpreise.
Anmerkung: Die in dieser Spalte angegebenen Kosten sind relative Kosten und hängen von großen Mengen an Magnetmaterialien ab, die sich nicht durch besondere Bearbeitungs- oder andere Merkmale auszeichnen.
Im Vergleich zu Kupferlegierungen können Neodym-Magnete auf Basis der Kosten pro Pfund extrem teuer sein. Auf Basis der Kosten pro BHmax sind sie jedoch nicht so teuer. Mit einem stärkeren Magnetfeld kann das gesamte Gerät, in das der Magnet eingebaut wird, sehr klein gestaltet werden. Dies führt zu einer Kostenersparnis, die für stärkere Magnetmaterialien spricht.
Gibt es Industriestandards für Magnete?
Ja. Die Magnetic Materials Producers Association (MMPA) und die Magnet Distributors and Fabrications Association (MDFA) haben Standards festgelegt. Die beiden Verbände sind derzeit unter dem Namen International Magnetics Association bekannt. Nachfolgend finden Sie einige der von diesen Organisationen herausgegebenen Publikationen und Standards zu Ihrer Information.
Art der Anwendung: Ob der Magnet zum Halten, Heben, Trennen, Bewegen, Erfassen oder für einen anderen Zweck benötigt wird.
Bevorzugte Magnetform: Beispielsweise Scheibe, Ring, Block, Zylinder, Kugel oder benutzerdefinierte Geometrie.
Erforderliche MagnetgrößeGeben Sie die genauen Abmessungen wie Durchmesser, Länge, Breite, Höhe und Dicke an.
Toleranzanforderungen: Geben Sie an, wie viel Maßabweichung für Ihre Anwendung akzeptabel ist.
Betriebsumgebung: Berücksichtigen Sie Bedingungen wie hohe Temperaturen, Feuchtigkeitseinwirkung, Verwendung im Außen- oder Innenbereich oder Kontakt mit korrosiven Materialien.
Erforderliche Magnetkraft: Definieren Sie die für die Aufgabe erforderliche Zugkraft, den Gauß-Wert oder die Güteklasse (z. B. N35, N42, N52). (Erfahren Sie mehr über Magnetklassen)(N42 Vs N45 Vs N52 Magnet, N35 Vs N52 Magnet)
Budgetbeschränkungen: Wenn der Magnet einen bestimmten Preis nicht überschreiten darf, hilft dies bei der Entscheidung, welche Materialien oder Qualitäten geeignet sind.
Benötigte Menge: Geben Sie an, ob Sie Einzelmuster, kleine Chargen oder große Produktionsmengen benötigen.
Um die Grundlagen des Magnetismus zu verstehen, braucht man Materialien, die sich vorhersehbar verhalten. Osnec stellt Magnete her, die in Bezug auf Polarität, Feldverteilung und Materialreaktion eine gleichbleibende Leistung aufweisen, wodurch sie sich gut zur Veranschaulichung grundlegender Konzepte eignen. Schüler und Ingenieure können ein einheitliches Feldverhalten beobachten, wodurch die Grundprinzipien der Anziehung, Abstoßung und Ausrichtung leichter zu demonstrieren und zu analysieren sind.
3. Magnetische Stärke verstehen

Wie lange behält ein Magnet seine Kraft?
Wenn Sie einen Gegenstand, der einen Magneten enthält, von Dingen fernhalten, die ihn negativ beeinflussen, wie Stromleitungen, andere Magnete, hohe Temperaturen usw., behält ein Magnet seinen Magnetismus länger.
Welche Faktoren können die Stärke eines Magneten beeinflussen?
Die Faktoren, die die Stärke eines Magneten beeinflussen können, sind:
- Wärme
- Strahlung
- Starke elektrische Ströme in der Nähe des Magneten.
- Andere Magnete in der Nähe.
- Neodym-Magnete korrodieren in feuchten Umgebungen mit hoher Luftfeuchtigkeit, sofern sie nicht beschichtet sind.
- Moderne Magnetmaterialien sind unempfindlich gegenüber Stößen und Vibrationen, es sei denn, diese sind so stark, dass sie mechanische Schäden am Material verursachen.
Verlieren Magnete mit der Zeit ihre Kraft?
Moderne Magnetsubstanzen verlieren mit der Zeit nur einen sehr geringen Teil ihrer Magnetkraft. Bei Samarium-Kobalt-Magneten beispielsweise beträgt dieser Verlust nachweislich weniger als 1 Prozent in zehn Jahren.
Welche Arten von Magneten sind die stärksten?
Die stärksten Magnete, die derzeit auf dem Markt erhältlich sind, sind Seltenerdmagnete. Unter den Seltenerdmetallen sind diejenigen aus Neodym am stärksten. Bei hohen Temperaturen (ab etwa 150 °C) können jedoch Samarium-Kobalt-Magnete je nach Magnetkreis auch stärker sein als Neodym-Magnete.
Was sind supraleitende Magnete?
Dies sind Magnete der stärksten Art. Sie benötigen nicht einmal einen Metallkern, sondern bestehen aus Drahtspulen aus speziellen Metalllegierungen, die bei extrem niedrigen Temperaturen zu Supraleitern werden.
Kann ein vorhandener Magnet stärker gemacht werden?
Wenn ein Magnet vollständig magnetisiert ist, spricht man von Sättigung und er kann nicht mehr verstärkt werden. Magnete sind in diesem Fall wie Eimer mit Wasser: Wenn sie voll sind, können sie nicht noch voller werden.
Ist es möglich, einen Magneten, der seine magnetischen Eigenschaften verloren hat, wieder zu magnetisieren?
Die meisten Magnete können wieder auf ihre ursprüngliche Stärke remagnetisiert werden, vorausgesetzt, das Material ist nicht zu heiß.
Wie wird die Stärke oder Kraft eines Magneten definiert?
Die Stärke eines Magneten wird in der Regel mit Gaussmessgeräten, Magnetometern oder Zugprüfgeräten gemessen. Gaussmessgeräte messen in Gauss, Magnetometer in Gauss oder einer beliebigen Einheit (so lassen sich Magnete leicht miteinander vergleichen) und Zugprüfgeräte in Pfund und Kilogramm oder anderen Krafteinheiten. Eine hochpräzise Messung von Magneten erfolgt auch mit Helmholtz-Spulen, Suchspulen und Permeameter.
Spezielle Gaussmeter können bis zu mehreren tausend Dollar kosten. Integrated Magnetics hat verschiedene Arten von Gaussmeter zwischen 400 und 1500 Dollar pro Stück auf Lager. Kontaktieren Sie uns, wenn Sie mehr darüber erfahren oder eine Bestellung aufgeben möchten.
Angenommen, ich habe einen NdFeB-Magneten mit einem Br-Wert von 12.300 Gauss. Kann ich dann 12.300 Gauss an seiner Oberfläche messen?
Nein. Die Messung des Br-Wertes erfolgt unter geschlossenen Stromkreisbedingungen. Ein geschlossener Stromkreismagnet ist jedoch von geringem Nutzen. In der Praxis finden Sie in unmittelbarer Nähe der magnetischen Oberfläche ein Feld unter 12.300 Gauss. Unabhängig davon, ob der Magnet Stahl enthält oder nicht, bestimmen der Abstand zwischen dem Messpunkt und der Oberfläche sowie die Größe des Magneten den tatsächlichen Messwert (vorausgesetzt, die Messung erfolgt bei Raumtemperatur).
In einigen Beispielen misst ein Neodym-Magnet der Güteklasse 35 mit einem Durchmesser von 1 Zoll und einer Länge von ¼ Zoll etwa 2.500 Gauss, wenn er 1/16 Zoll von der Oberfläche entfernt ist, und 2.200 Gauss, wenn er 1/8 Zoll von der Oberfläche entfernt ist.
4. Magnetfelder und ihr Verhalten

Wie stark ist das Magnetfeld der Erde?
Die Erde hat eine Oberflächenfeldstärke von etwa 0,5 Gauss, die je nach Stärke des Krustenfeldes bis zu 10 Prozent betragen kann. Zwischen 0,85 und 0,45 liegt der weltweit verfügbare Bereich. Die Veränderungen können zwischen 1% und 5% liegen und aufgrund von geomagnetischen Stürmen zwischen einigen Stunden und einem ganzen Tag andauern.
Wie lautet die Formel, die die Abhängigkeit eines Magnetfelds von der Entfernung beschreibt?
Die Intensität eines Magnetfeldes nimmt mit zunehmender Entfernung mehr oder weniger exponentiell ab.
Das Folgende ist eine Darstellung des Abfalls des Feldes (in Gauss) eines Samarium-Kobalt-Scheibenmagneten der Güteklasse 18 mit einer Länge von 1/2″ und einem Durchmesser von 1″ in Abhängigkeit von der Entfernung:
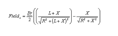
Wie lautet die Feldstärkegleichung in Bezug auf die Entfernung?
Bei einem kreisförmigen Magneten mit dem Radius R und der Länge L wird das Feld Bx in der Mittellinie des Magneten in einem Abstand X von der Oberfläche durch den folgenden Ausdruck angegeben, wobei Br die Restinduktion des Materials ist:

Feldstärkegleichung
Es ist auch möglich, andere Formeln zur Berechnung des Feldes verschiedener anderer rechteckiger Magnete und anderer rechteckiger Magnete zu verwenden. Berechnen Sie die Selbstfeldstärken mit unseren Online-Rechnern.
Womit kann ich ein Magnetfeld blockieren?
Die einzigen Materialien, die ein Magnetfeld blockieren können, sind solche, die von einem Magneten angezogen werden. Das Magnetfeld wird je nach Dicke des blockierenden Materials teilweise oder sogar vollständig blockiert.
Für die Feldkartierung erzeugen Osnec-Magnete saubere und klar definierte Magnetfelder, die gut mit Hall-Effekt-Sensoren und Visualisierungstools zusammenarbeiten. Durch dieses stabile Muster eignen sie sich für praktische Demonstrationen und Präzisionstests.
5. Magnetpole und ihre Definitionen
Was sind Magnetpole?
Die Oberflächen, von denen die unsichtbaren Linien des Magnetflusses ausgehen und an denen die unsichtbaren Linien des Magnetflusses wieder in den Magneten eintreten, werden als Magnetpole bezeichnet.
Was sind die herkömmlichen Definitionen des Nord- und Südpols?
Ein Nordpol ist der Pol eines Magneten, der sich, wenn er sich frei bewegen kann, zum Nordpol der Erde hin ausrichtet. Anders ausgedrückt: Der Nordpol eines Magneten strebt nach dem Nordpol der Erde. Ebenso folgt der Südpol des Magneten dem Südpol der Erde.
Kann ein bestimmter Pol identifiziert werden?
Ja, es kann je nach Vorgabe oben oder unten auf einem Magneten markiert werden.
Woher weißt du denn, dass es der Nordpol ist, wenn es keine Anzeichen dafür gibt?
Das kann man nicht mit bloßem Auge erkennen. Man erkennt es, indem man einen Kompass in die Nähe des Magneten bringt. Die Spitze der Nadel, die sich normalerweise in Richtung des Nordpols der Erde bewegt, würde dann in Richtung des Südpols des Magneten zeigen.
6. Magnetfluss und sein Verhalten
Wie verhalten sich Magnetflusslinien im Raum?
Die Kräfte sind dreidimensional als Linien und umgeben einen Stabmagneten auf jeder Seite.
Gegensätze stoßen sich ab, und ungleichartige Gegensätze ziehen sich an. Zwei Magnete mit entgegengesetzten Polen verstärken die Kraftlinien, die sich bei Kontakt vereinigen, und die beiden Magnete ziehen sich an.
Wenn sich die gleichen Pole eines Magneten nähern, wird eine andere Kraftlinie weggedrückt, und der Magnet stößt einen anderen ab.
Die Steuerung der Flussdichte ist eine große Herausforderung bei Seltenerdmagneten. Marken wie Osnec Führen Sie Thermosyklustests und Flussstabilitätsanalysen durch, um sicherzustellen, dass Ihre Magnete auch unter mechanischer oder thermischer Belastung einen konstanten Fluss aufweisen.
7. Magnetische Orientierung und einfache Achsen
Was bedeutet “Ausrichtung” bei Magneten?
Die meisten modernen Magnetmaterialien sind körnig; sie lassen sich nur in einer Richtung am einfachsten maximal magnetisieren. Dies ist die einfache Achse, die Ausrichtungsrichtung oder die Achse.
Nicht orientierte Magnete (auch “isotrope Magnete” genannt) sind im Vergleich zu orientierten Magneten wesentlich schwächer und können in jede beliebige Richtung magnetisiert werden. Orientierte Magnete (oder wie sie manchmal auch genannt werden, anisotrope Magnete) sind nicht in alle Richtungen ausgerichtet – sie sind bevorzugt in eine Richtung orientiert, in der sie magnetisiert werden sollen.
Ob eine axiale, diametrale oder radiale Ausrichtung erforderlich ist, Osnec stellt Magnete mit streng kontrollierten Ausrichtungstoleranzen her. Diese Konsistenz verbessert die Gesamtleistung von Baugruppen und Rotationssystemen.
8. Wichtige magnetische Eigenschaften
Drei wichtige Eigenschaften von Magneten sind:
Restinduktion: Angenommen, das Symbol ist Br und die Einheit ist Gauss, dann ist dies ein Hinweis auf die Stärke des Magneten, die er haben könnte.
Zwangsleistung: Da Hc ein Symbol ist und in Oersteds angegeben wird, handelt es sich hierbei um ein Maß für die Schwierigkeit, den Magneten zu entmagnetisieren.
Maximales Energieprodukt: Unter Verwendung der verschiedenen Bezeichnungen ist BHmax, abgekürzt als bhmax, mit der Maßeinheit Gauss-Oersteds ein Indikator für die Menge an Magnetmaterial, die benötigt wird, um eine bestimmte Menge an Magnetfluss zu projizieren.
9. Magnetische Eigenschaften gängiger Materialien
Was sind die Eigenschaften der gängigen Magnetmaterialien?
Im Folgenden sind die drei wesentlichen Eigenschaften einiger der heute am häufigsten verwendeten Magnettypen aufgeführt:
Wie können diese Informationen in der Praxis genutzt werden?
Angesichts der Größe des Magneten können Sie eine ungefähre Vorstellung davon bekommen, wie viel Magnetfluss verschiedene Materialien in einer bestimmten Entfernung projizieren. Diese Information kann auch zum Vergleich verschiedener Materialien herangezogen werden.
Beispiel: Was ist der Unterschied im Fluss, den ein Neodym-Magnet der Güteklasse 35 im Vergleich zu einem Keramikmagneten der Güteklasse 5 derselben Größe in einer bestimmten Entfernung projiziert? Teilen Sie einfach den Br-Wert des Neo 35 durch den Br-Wert des Keramik 5 (12300/3950), um 3,1 zu erhalten. Das bedeutet, dass der Neo der Klasse 35 bei einer bestimmten Entfernung den 3,1-fachen Fluss eines Keramikmagneten der Klasse 5 gleicher Größe projiziert.
Da der in einer bestimmten Entfernung vom Magneten benötigte Fluss bekannt ist, können Sie damit die Größe des Volumens eines Magnetmaterials bestimmen und abschätzen, das Sie für verschiedene Magnete benötigen.
Problem: Welches Volumen müssten 5 Keramikmagnete haben, um bei diesem Abstand denselben Fluss wie ein Neodym-Magnet der Güteklasse -35 zu erzeugen? Sie müssen lediglich BHmax von Neo-35 durch BHmax von Keramik-5 (35/3,6) dividieren, um 9,7 zu erhalten. Das bedeutet, dass die Anzahl der Keramik-5-Magnete 9,7-mal so groß sein müsste wie die des Neo-35-Magneten, um denselben Fluss zu erzeugen.
10. Betriebstemperaturen von Magnetwerkstoffen
Was sind die empfohlenen maximalen Betriebstemperaturen für verschiedene Magnetmaterialien?
Die höchste Temperatur, bei der ein Magnet betrieben werden kann, hängt stark vom Permeabilitätskoeffizienten (Pc) des Materials ab. Pc hängt vom Magnetkreis ab, in dem der Magnet funktioniert. Je größer der Pc (je geschlossener der Kreis), desto höher ist die Temperatur, bei der der Magnet ohne starke Entmagnetisierung verwendet werden kann. Die folgende Tabelle zeigt einen Bereich der maximalen Betriebstemperaturen der verschiedenen Klassen von Magnetmaterialien. Bei Temperaturen nahe den unten angegebenen Werten ist möglicherweise besondere Vorsicht geboten, um sicherzustellen, dass der Magnet nicht entmagnetisiert wird.
Bei welcher Höchsttemperatur kann ein Magnet noch effektiv funktionieren?
Die Magnete arbeiten je nach den verschiedenen Schaltkreisen, in denen sie eingesetzt werden, mit unterschiedlicher Effizienz. Je geschlossener der Schaltkreis ist, in dem der Magnet arbeitet, desto stabiler ist er und desto geringer ist der Einfluss der Temperatur auf den Magneten.
11. Bearbeitung und Verarbeitung von Magneten
Ist es möglich, Magnete zu bearbeiten?
Ja, Magnete können bearbeitet werden. Allerdings sind harte Magnetmaterialien im Gegensatz zu flexiblen oder gummiartigen Magnetmaterialien sehr schwer zu bearbeiten. Die Bearbeitung sollte so weit wie möglich in unmagnetisiertem Zustand unter Verwendung von Diamantwerkzeugen und/oder weichen Schleifscheiben erfolgen. Im Allgemeinen lohnt es sich nicht, maschinell gehärtete Magnetmaterialien zu bearbeiten, es sei denn, Sie sind mit diesen speziellen Bearbeitungsverfahren vertraut.
Welche Faktoren beeinflussen die Kosten für die Bearbeitung von Magneten?
Zu den Faktoren, die die Ermittlung der Kosten für die Maschine der Magnete erfordern, gehören:
Menge: Je größer die Menge, desto geringer die Kosten, da die Einrichtungskosten auf die Menge verteilt werden müssen und für die Bearbeitung einer größeren Menge Spezialwerkzeuge erforderlich sein können.
Material: Die Bearbeitung von SmCo-Werkstoffen ist teurer; sie sind sehr spröde, und aufgrund ihrer physikalischen Eigenschaften ist die Bearbeitung der flexiblen Werkstoffe kostengünstiger.
Form: Komplexe Formen sind teurer als einfache Formen.
Toleranzen: Je enger die erforderlichen Toleranzen sind, desto weiter sind die Magnete von der Maschine entfernt.
Die Bearbeitung von Magneten erfordert eine sorgfältige Kontrolle, um Risse und Absplitterungen zu vermeiden. Osnec produziert gesinterte Werkstoffe mit saubereren Kanten und verbesserter struktureller Integrität, wodurch Nachbearbeitungsprozesse sicherer und vorhersehbarer werden.
12. Magnetische Baugruppen und ihre Konstruktion
Was versteht man unter einer magnetischen Baugruppe?
Magnetbaugruppen bestehen aus einem oder mehreren Magneten und ihren weiteren Bestandteilen, in der Regel Komponenten wie Stahl, die die Funktionalität des Magneten beeinflussen können.
Wie sollten Magnete in meinem Gerät montiert oder eingebaut werden?
Falls der Magnet an einer Maschine befestigt werden soll, können Sie ihn mit mechanischen Mitteln oder mit Klebstoffen fixieren.
Magnete werden in der Regel mit Klebstoffen befestigt. Bei der Anbringung von Magneten auf unebenen Oberflächen benötigt man einen Klebstoff mit hoher Konsistenz, damit er sich der unebenen Oberfläche anpassen kann. Heißkleber hat sich ebenfalls als wirksam bei der Befestigung von Magneten auf Keramik, Holz, Stoff und anderen Materialien erwiesen. Bei Magneten, die auf Metall befestigt werden sollen, kann Superkleber mit großem Erfolg eingesetzt werden.
Integrated Magnetics bietet flexible Magnete mit bereits aufgebrachten Klebstoffen an, sodass Sie lediglich die Schutzfolie abziehen und den Magneten auf Ihr Produkt kleben müssen. Rufen Sie uns an, fordern Sie ein Angebot für eine Sonderanfertigung an oder sehen Sie sich unser großes Sortiment online unter www.magnetshop.com an, wo Sie auch online einkaufen können.
Es ist auch zu beachten, dass wie bei jeder anderen Klebeanwendung das Wichtigste darin besteht, sicherzustellen, dass alle zu verklebenden Oberflächen vor dem Verkleben sauber und trocken sind.
Bei Baugruppen spielen Faktoren wie die Wahl des Klebstoffs, die Präzision des Gehäuses und die Ausrichtung eine wichtige Rolle. Osnec berücksichtigt diese Aspekte bei der Konstruktion von Baugruppen und gewährleistet so eine stabile magnetische Leistung und eine höhere Betriebseffizienz.
13. Sichere Handhabung und Lagerung von Magneten
Richtlinien für die Verwendung und Lagerung von Magneten
Magnete sind stets mit besonderer Vorsicht zu behandeln! Die Magnete können zerbrechen und Personen schneiden oder verletzen.
Bewahren Sie Magnete außerhalb der magnetischen Teile wie Disketten, Kreditkarten und Computerbildschirme auf.
Bewahren Sie die Ladenmagnete in geschlossenen Verpackungsbehältern auf, damit sie keine Metallrückstände anziehen.
Wenn Sie mehrere Magnete aufbewahren, sollten diese an attraktiven Orten platziert werden.
Aufgrund ihrer leichten Entmagnetisierbarkeit müssen Alnico-Magnete mit ihren Halterungen aufbewahrt werden, bei denen es sich um Eisen- oder Stahlplatten handelt, die dazu neigen, sich gegenseitig zu magnetisieren und so die Befestigungsplatten des ersten Magneten zu bilden.
Sichere Handhabung und Lagerung verhindern Schäden am Magneten, Korrosion und Unfallverletzungen. Osnec verwendet Verpackungssysteme, die darauf ausgelegt sind, übermäßige Anziehungskräfte, Feuchtigkeitseinwirkung und stoßbedingte Belastungen während des Transports zu begrenzen. Diese Schutzmaßnahmen verdeutlichen die Bedeutung einer ordnungsgemäßen Lagerung und helfen Anwendern zu verstehen, wie sich Umweltfaktoren auf die langfristige Leistungsfähigkeit von Magneten auswirken können.
14. Weiterführende Literatur und Referenzquellen
Welche Fachbücher zum Thema Magnetismus sind empfehlenswert?
- Handbuch zum Permanentmagnet-Design, von Lester Moskowitz, ein 385-seitiges Buch, das sich an technische Laien richtet.
- Permanentmagnete und ihre Anwendungen, von Dr. Peter Campbell, ein 203-seitiges Buch, das sich an Fachleute richtet.
- Die treibende Kraft, von James Livingston, ein 310-seitiges Buch, das sich an Leser ohne technischen Hintergrund richtet. Ein sehr gut geschriebenes und interessantes Buch über die Geschichte der Magnete und einige ihrer exotischeren Anwendungsbereiche.
Fordern Sie noch heute ein Angebot an oder kontaktieren Sie uns und teilen Sie uns mit, wie wir Ihnen bei Ihren speziellen Anforderungen an kundenspezifische Magnete behilflich sein können. Magnete können auch online unter MagnetShop.com mit einem großen Lagerbestand erworben werden.
FAQ
Aus welchen Materialien werden Magnete hergestellt?
Magnete werden in der Regel aus ferromagnetischen Metallen und technischen Legierungen hergestellt, darunter vor allem Neodym-Eisen-Bor (NdFeB), Samarium-Kobalt (SmCo), Ferrit (keramisches Eisenoxid), Alnico (Aluminium-Nickel-Kobalt) und flexible Gummimagnete mit Ferrit- oder NdFeB-Pulver. Osenc konzentriert sich auf leistungsstarke Neodym-Magnete (NdFeB) aus Seltenen Erden, die für eine stärkere magnetische Energie, präzise Magnetisierung und anwendungsspezifische Beschichtungen und Formen für den industriellen Einsatz entwickelt wurden.
Wie entstehen Magnete auf natürliche Weise?
Natürlich vorkommende Magnete entstehen, wenn eisenreiche Mineralien wie Magnetit unter geologischen oder Blitzereignissen dauerhaft mit dem Erdmagnetfeld ausgerichtet werden. Diese natürlichen “Magnetsteine” sind relativ selten und haben eine geringe Magnetkraft. In der modernen Industrie entwickelt Osenc stattdessen leistungsstarke Neodym-Magnete (NdFeB) durch kontrollierte Sinter-, Bearbeitungs- und Magnetisierungsprozesse, um genau definierte magnetische Eigenschaften und eine stabile Leistung zu erzielen.
Was passiert, wenn ich einen Magneten in zwei Hälften zerbreche?
Wenn man einen Magneten in zwei Hälften bricht, erhält man keine isolierten Nord- und Südpole – jedes Stück wird zu einem kleineren Magneten mit eigenem Nord- und Südpol. Mechanische Stöße und unregelmäßige Bruchflächen können jedoch zu einer teilweisen Entmagnetisierung des Materials führen, den nutzbaren Magnetfluss verringern und die Leistung beeinträchtigen.
Was ist der stärkste Magnet?
Die stärksten im Handel erhältlichen Permanentmagnete sind gesinterte Neodym-Eisen-Bor (NdFeB)-Seltenerdmagnete, insbesondere hochwertige Sorten wie N52. Diese Magnete bieten im Vergleich zu Ferrit, Alnico oder SmCo die höchste (BH)max und eine extrem hohe Remanenz, wodurch sie sich ideal für kompakte Konstruktionen mit hohem Drehmoment oder hoher Kraft eignen. Als spezialisierter Hersteller von Neodym-Magneten entwickelt Osenc NdFeB-Güten, Beschichtungen und Magnetisierungsrichtungen, um die Magnetkraft zu maximieren und gleichzeitig Temperaturbeständigkeit und Korrosionsschutz für verschiedene industrielle Anwendungen in Einklang zu bringen. (Erfahren Sie mehr über Wie stark ist ein Neodym-Magnet?)
Ich bin Ben, mit über 10 Jahren Erfahrung in der Dauermagnetbranche. Seit 2019 bin ich bei Osenc und habe mich auf kundenspezifische NdFeB-Magnetformen, magnetisches Zubehör und Baugruppen spezialisiert. Dank unserer umfassenden magnetischen Expertise und unserer zuverlässigen Werksressourcen bieten wir Lösungen aus einer Hand - von der Materialauswahl und dem Design bis hin zur Prüfung und Produktion - und vereinfachen so die Kommunikation, beschleunigen die Entwicklung und gewährleisten die Qualität, während wir gleichzeitig die Kosten durch die flexible Integration von Ressourcen senken.


